
氧气是细胞进行呼吸作用所必需的物质对细胞有着至关重要的影响。
在细胞中氧气作为细胞呼吸链中电子传递链的最终电子受体,与氢离子结合生成水,并释放出大量能量供细胞使用。这一过程中,细胞通过氧化磷酸化作用合成ATP(腺苷三磷酸),为细胞的各项生命活动提供能量维持细胞代谢。细胞中的氧气含量还影响着细胞的增殖,在适宜的氧气浓度下,细胞能够正常进行有丝分裂,实现增殖。氧气供应不足时,细胞的增殖速度可能会减慢,甚至停止。故在体外细胞培养实验中,需要精确控制氧气浓度,以确保细胞能够在比较适宜的环境中生长和增殖。
在CHO细胞培养中,溶解氧水平通常保持在空气饱和度的10%至80%之间。氧气浓度过高会导致活性氧物质(ROS)的累积,从而导致线粒体呼吸链和细胞内氧化还原的改变,最终导致细胞生长抑制和单位生产力下降。另一方面,缺氧条件也已知会诱导活性氧积累。缺氧条件也与摄氧量减少和乳酸生成增加有关。
在大规模(2000L)时,活性氧积累与生产率的显著下降相关,而在小规模(20L)时则没有遇到这种问题。因此,在放大过程中必须仔细选择溶解氧设定值,尤其是由于流体静压效应;在相似的DO水平下(空气饱和度的百分比),与台式生物反应器相比,大规模容器中的实际氧气浓度将显著更高。
尽管表面曝气降低了气泡引起的剪切应力,但在较大范围内,其对整体气体传输的贡献变得可以忽略不计。为了减小由气-液界面处气泡破裂引起的剪切应力,将表面活性剂如Pluronic F-68(或Kolliphor P188)加入细胞培养液中。1g/L(最高5g/L)范围内的普朗尼克浓度通常用于提供剪切保护。
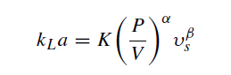
氧传质系数(kLa)用于衡量系统的氧传递能力。对于给定的生物反应器配置,根据下面给出的关系,kLa主要与体积功率输入(P/V)和表观气体速度(νs)相关,其中K是常数,指数α和β分别约为0.4和0.5。

工艺参数如气泡大小,混合速度,气体流速,体积和生物反应器的几何形状都影响kLa。各种介质成分,包括盐、消泡剂和表面活性剂,也被证明会影响传质系数。特别是消泡剂显著降低kLa。Pluronic F-68也降低了kLa,但程度较轻,而盐的添加增加了氧传质系数。
另一个影响kLa的因素是叶轮的数量。在抑制聚结的培养基(如大多数培养液)中,在保持体积功率和气体流量恒定的情况下,与3个叶轮的配置相比,使用单叶轮可以提高kLa。这表明,将形成气泡的地方的功率输入集中会增加总体的传质。一般来说,类似几何形状的生物反应器规模的增加会导致kLa的增加,这在传统的搅拌槽和一次性生物反应器中都注意到。液体高度的增加导致更长的气体停留时间,从而实现更有效的气体传输。

通气中的CytoLinX? BR 一次性罐体式生物反应器
生物反应器结构、形状设计与功能息息相关,良好的反应器形状结构有利于反应器使用过程中各种气体传导,以及分压控制,这使微生物/细胞培养过程中各项需要依靠气体调节控制培养条件可控性更好,工艺参数调节控制更加简单。天辰平台制造生物反应器结构良好,功能齐全,产品型号包括10L、50L、200L、500L、1000L、2000L满足各个大小培养工艺需求,适用于工业级哺乳动物、昆虫类细胞及其他低剪切力需求的细胞培养。良好的pH、DO控制系统助力完成更好的细胞培养,灵活定制服务满足客户需求,实现互利共赢。
CytoLinX? BR一次性罐体式生物反应器

罐体形状结构良好,功能齐全,单个控制柜可通过插拔控制多台反应罐,实现成本的大幅度降低(根据工艺需求可提供不同大小反应罐体积,支持工艺放大);
采用稳定的PCS7系统,符合ISA 88控制系统,可实现全厂控制;
软件设计符合21 CFR Part 11,界面用户友好;
配置灵活,可根据用户需求进行部分定制;
设备配件均采用进口高端品牌,并经过出厂检测保证正常使用;
配套使用一次性生物反应袋底通大泡、中泡、微泡可选,满足多种工艺需求;
参考文献:
Lucas Lemire, Phuong Lan Pham, Yves Durocher, and Olivier Henry 《Practical Considerations for the Scale-Up of Chinese Hamster Ovary (CHO) Cell Cultures》under exclusive license to Springer Nature Switzerland AG 2021 R. P?rtner (ed.), Cell Culture Engineering and Technology, Cell Engineering 10, https://doi.org/10.1007/978-3-030-79871-01_2
即刻咨询